+86-20-3855-1181 Anzahl Durchsuchen:0 Autor:Site Editor veröffentlichen Zeit: 2025-11-24 Herkunft:Powered
Die Hauptsymptome einer Hautentzündung sind die fünf Hauptsymptome: Rötung, Schwellung, Hitze, Schmerzen und Juckreiz.
Grundsymptome: Rötung, Schwellung, Hitze, in manchen Fällen begleitet von Stechen oder Brennen.
Juckreiz: Variiert von leicht bis stark und hinterlässt oft Kratzspuren.
Hautanomalien: Trockenheit und Schuppenbildung, Papeln, Blasen; in schweren Fällen kommt es zu Nässen, Krustenbildung, Erosion und sogar Geschwürbildung.
Eine wirksame Entzündungsbehandlung verbessert nicht nur aktuelle Hautprobleme, sondern ist auch der Schlüssel zur Vorbeugung zukünftiger Probleme und zur Verzögerung der Hautalterung. Indem wir die Ursachen und Erscheinungsformen von Entzündungen verstehen, können wir gezieltere Hautpflegeinhaltsstoffe und Lebensstile auswählen, um die Hautgesundheit an ihrer Quelle zu schützen.
Wenn plötzlich Rötungen oder Brennen auftreten, ist ein sofortiges linderndes Eingreifen unerlässlich. Wählen Sie Hautpflegeprodukte mit entzündungshemmender und beruhigender Wirkung, um Beschwerden zu bekämpfen und die Stressreaktion der Haut schnell zu lindern.
Eine Entzündung schädigt die natürliche Schutzbarriere der Haut und führt zu einer verminderten Fähigkeit, Feuchtigkeit zu speichern. Verwenden Sie Produkte zur Barrierereparatur, um die Schutzschicht der Haut wieder aufzubauen und ihre Widerstandsfähigkeit gegen äußere Reize wiederherzustellen.
Entzündungshemmende Maßnahmen sind keine vorübergehende Lösung, sondern erfordern eine konsequente tägliche Pflege. Entscheiden Sie sich für milde, nicht reizende Hautpflegeprodukte, gepaart mit einem regelmäßigen Zeitplan und einer gesunden Ernährung, um einen stabilen Hautzustand von innen heraus aufrechtzuerhalten.
Eine wirksame Entzündungshemmung beruht auf der Koordination mehrdimensionaler Effekte. Wählen Sie Produkte mit den Drei-in-Eins-Vorteilen Entzündungshemmung, Befeuchtung und Reparatur aus, um ein umfassendes Schutzsystem aufzubauen, das wiederkehrende Entzündungen grundlegend reduziert.
Um das Problem der Entzündung anzugehen, stellen wir heute einen wirklich wirksamen entzündungshemmenden Inhaltsstoff vor – Hony D001. Es kann Hautentzündungen lindern, Rötungen, Brennen und andere Empfindlichkeitsprobleme lindern und die Haut wieder in einen gesunden Zustand versetzen.
Lassen Sie uns als Nächstes die herausragenden Wirkungen dieser Star-Zutat erkunden!


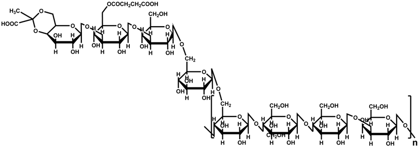
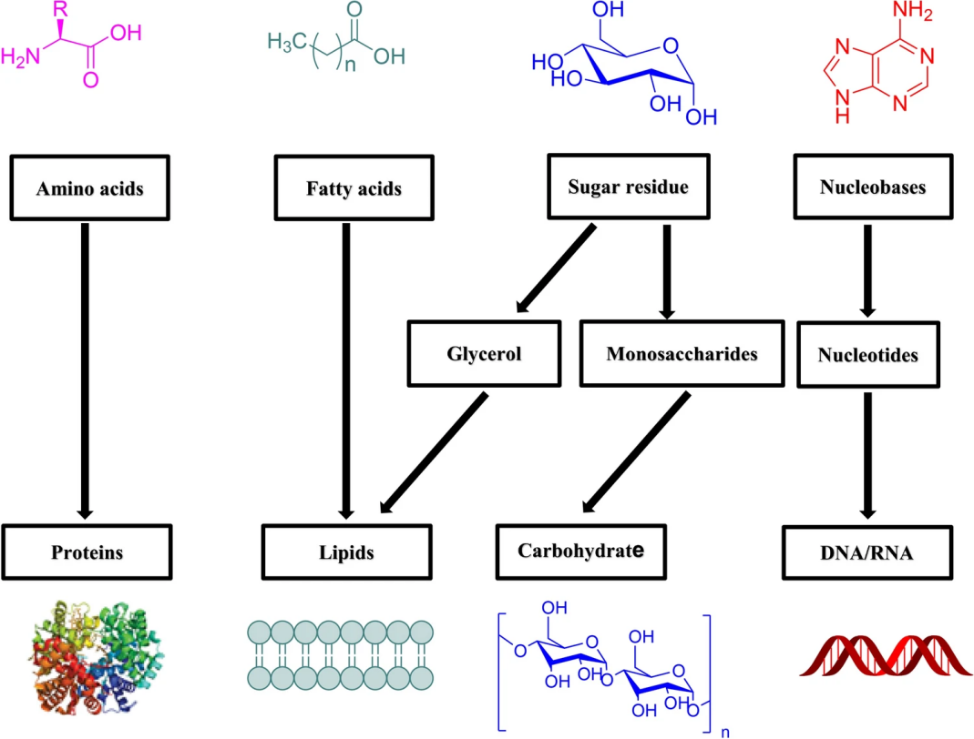
Hony D001 wird von natürlichen Polysacchariden abgeleitet, einer Klasse strukturell äußerst vielfältiger biomakromolekularer Polymere. Polysaccharide sind präzise durch Monosaccharideinheiten über glykosidische Bindungen verknüpft, und einige können sich darüber hinaus mit Peptiden, Aminosäuren oder Lipiden verbinden, um komplexe Kombinationen von Zuckerresten zu bilden, was eine solide Grundlage für ihre hervorragende biologische Aktivität bildet.
Natürlicher Ursprung, gute Hautverträglichkeit
Hergestellt durch industrielle Fermentation, mit kontrollierbarer Qualität
Vielfältige Funktionen, bemerkenswerte Effekte
Klarer Wirkmechanismus
Hervorragende Verträglichkeit mit anderen Rohstoffen
Hohe biologische Sicherheit
Ob Umweltreizungen oder Hautschäden: Hony D001 kann gezielt entzündungshemmende und reparierende Wirkungen entfalten und so verschiedene tägliche Hautpflegebedürfnisse erfüllen.
Ultraviolette (UV) Strahlung kann Hautrötungen, epidermale Verdickungen und Kollagenverlust auslösen. Hony D001 lindert Sonnenbrandreaktionen durch seine entzündungshemmende Wirkung und reduziert gleichzeitig die Melaninproduktion, um Mattheit und Rötungen nach der Sonneneinstrahlung zu lindern.
Bei entzündungsbedingten Hautproblemen wie atopischer Dermatitis senkt es die Menge an Entzündungsfaktoren der Haut, verbessert die Barrierefunktion und lindert Beschwerden wie Schwellungen und Juckreiz. Eine langfristige Anwendung kann die Hautempfindlichkeit verringern.
Während des Wundheilungsprozesses minimiert seine entzündungshemmende Wirkung die Beeinträchtigung der Gewebereparatur durch Entzündungen. Gleichzeitig schafft es in Kombination mit seinen feuchtigkeitsspendenden Eigenschaften ein günstiges Umfeld für die Hautreparatur und beschleunigt die Erholung geschädigter Haut.
Hony D001 reduziert die Entzündungsreaktion der Hautzellen.
Hony D001 hemmt die Entzündungsreaktion von Makrophagen.
Hony D001 bietet den doppelten Vorteil einer hohen Sicherheit und einer bemerkenswerten entzündungshemmenden Wirksamkeit. In Hautpflegeanwendungen kann es Hautentzündungen wirksam lindern, ohne Zellschäden zu verursachen, was es zu einem idealen funktionellen Hautpflegeinhaltsstoff macht.
Experimentelle Daten bestätigen, dass Hony D001 schnell in die tiefen Hautschichten eindringen kann und gleichzeitig mehrere Entzündungssymptome wie Rötung, Schwellung und Stechen lindert und somit eine wissenschaftliche und effiziente Reparaturlösung für empfindliche Haut darstellt.
Gesichtsreiniger: Milde Reinigung, um Rötungen nach der Reinigung vorzubeugen
Essenz: Gezielte Beruhigung zur schnellen Reduzierung von Rötungen
Gesichtsmaske: Intensive Reparatur zur Verbesserung der Hautbarrierefunktion
Gesichtscreme: Langanhaltende Feuchtigkeitsversorgung zum Aufbau eines schützenden Netzwerks
Shampoo: Lindert Entzündungen der Kopfhaut und verbessert die Umgebung der Haarfollikel
Körperwaschmittel: Lindert Akne und Empfindlichkeitsprobleme am Körper
Körperlotion: Repariert die Hautbarriere und spendet langanhaltende Feuchtigkeit
【Erfahrung】Neue Produkte mit Hony D001 sind jetzt verfügbar!
【Kontaktieren Sie uns】 Erhalten Sie professionellere Produktkenntnisse!
Heim | Über uns | Produkte | Innovation | Unterstützung | Nachricht | Kontakt
Neue Produkte | Silikon | Spülung | Tensid | Aktive | Heimpflege